Mute
J. T. T. Adargas
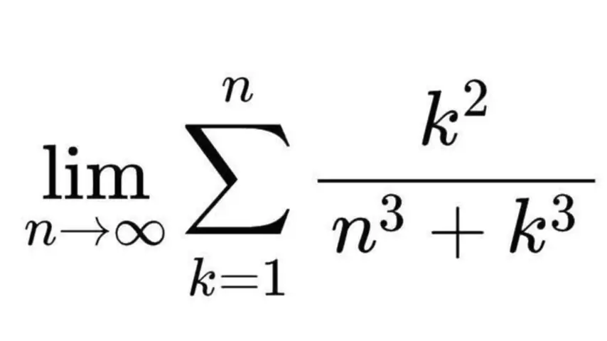
Desafio de limite com somatório proposto pelo Vitor Terra no Facebook. A questão é interessante e envolve raciocínio com séries e aproximações. Confira a resolução completa no vídeo e depois me diga: você teria feito da mesma forma? #Matemática #Limite #Cálculo #Estudo #Desafio
Follow
14
3
4
kwaikwaikwaikwaikwaikwaikwaikwaikwaikwai kwaikwaikwaikwaikwaikwaikwaikwaikwaikwaikwaikwaikwaikwaikwaikwaikwaikwaikwaikwai kwaikwaikwaikwaikwaikwaikwaikwaikwaikwaikwaikwaikwaikwaikwaikwaikwaikwaikwaikwai kwaikwaikwaikwaikwaikwaikwaikwaikwaikwaikwaikwaikwaikwaikwaikwaikwaikwaikwaikwai kwaikwaikwaikwaikwaikwaikwaikwaikwaikwaikwaikwaikwaikwaikwaikwaikwaikwaikwaikwai kwaikwaikwaikwaikwaikwaikwaikwaikwaikwaikwaikwaikwaikwaikwaikwaikwaikwaikwaikwai kwaikwaikwaikwaikwaikwaikwaikwaikwaikwaikwaikwaikwaikwaikwaikwaikwaikwaikwaikwai kwaikwaikwaikwaikwaikwaikwaikwaikwaikwaikwaikwaikwaikwaikwaikwaikwaikwaikwaikwai kwaikwaikwaikwaikwaikwaikwaikwaikwaikwaikwaikwaikwaikwaikwaikwaikwaikwaikwaikwai kwaikwaikwaikwaikwaikwaikwaikwaikwaikwaikwaikwaikwaikwaikwaikwaikwaikwaikwaikwai kwaikwaikwaikwaikwaikwaikwaikwaikwaikwaikwaikwaikwaikwaikwaikwaikwaikwaikwaikwai kwaikwaikwaikwaikwaikwaikwaikwaikwaikwaikwaikwaikwaikwaikwaikwaikwaikwaikwaikwai kwaikwaikwaikwaikwaikwaikwaikwaikwaikwaikwaikwaikwaikwaikwaikwaikwaikwaikwaikwai kwaikwaikwaikwaikwaikwaikwaikwaikwaikwaikwaikwaikwaikwaikwaikwaikwaikwaikwaikwai kwaikwaikwaikwaikwaikwaikwaikwaikwaikwaikwaikwaikwaikwaikwaikwaikwaikwaikwaikwai kwaikwaikwaikwaikwaikwaikwaikwaikwaikwaikwaikwaikwaikwaikwaikwaikwaikwaikwaikwai kwaikwaikwaikwaikwaikwaikwaikwaikwaikwaikwaikwaikwaikwaikwaikwaikwaikwaikwaikwai kwaikwaikwaikwaikwaikwaikwaikwaikwaikwaikwaikwaikwaikwaikwaikwaikwaikwaikwaikwai kwaikwaikwaikwaikwaikwaikwaikwaikwaikwaikwaikwaikwaikwaikwaikwaikwaikwaikwaikwai kwaikwaikwaikwaikwaikwaikwaikwaikwaikwaikwaikwaikwaikwaikwaikwaikwaikwaikwaikwai kwaikwaikwaikwaikwaikwaikwaikwaikwaikwaikwaikwaikwaikwaikwaikwaikwaikwaikwaikwai kwaikwaikwaikwaikwaikwaikwaikwaikwaikwaikwaikwaikwaikwaikwaikwaikwaikwaikwaikwai kwaikwaikwaikwaikwaikwaikwaikwaikwaikwaikwaikwaikwaikwaikwaikwaikwaikwaikwaikwai kwaikwaikwaikwaikwaikwaikwaikwaikwaikwaikwaikwaikwaikwaikwaikwaikwaikwaikwaikwai kwaikwaikwaikwaikwaikwaikwaikwaikwaikwaikwaikwaikwaikwaikwaikwaikwaikwaikwaikwai kwaikwaikwaikwaikwaikwaikwaikwaikwaikwaikwaikwaikwaikwaikwaikwaikwaikwaikwaikwai kwaikwaikwaikwaikwaikwaikwaikwaikwaikwaikwaikwaikwaikwaikwaikwaikwaikwaikwaikwai kwaikwaikwaikwaikwaikwaikwaikwaikwaikwaikwaikwaikwaikwaikwaikwaikwaikwaikwaikwai kwaikwaikwaikwaikwaikwaikwaikwaikwaikwaikwaikwaikwaikwaikwaikwaikwaikwaikwaikwai kwaikwaikwaikwaikwaikwaikwaikwaikwaikwaikwaikwaikwaikwaikwaikwaikwaikwaikwaikwai kwaikwaikwaikwaikwaikwaikwaikwaikwaikwai